В формуле, на которой основывается администрация США для определения размера «зеркальных» пошлин в отношении других стран, есть математическая ошибка, которая завышает сборы в четыре раза, говорится в публикации Американского института предпринимательства (AEI).
Президент Дональд Трамп, объявляя о решении ввести пошлины, заявлял, что они представляют собой примерно половину ставки таможенных пошлин и других торговых барьеров, которыми эти государства облагают США. Однако, отмечают авторы статьи, это не так: размер пошлины равен дефициту торгового баланса США, деленному на импорт Штатов из данной страны, разделенный на два, или 10%, в зависимости от того, какая ставка выше. Таким образом, даже если у США нет торгового дефицита со страной, в отношении нее вводится минимальная ставка 10%.
Кроме того, дефицит торгового баланса с другой страной определяется не только тарифами и нетарифными торговыми барьерами, но и международными потоками капитала, цепочками поставок, сравнительными преимуществами, географией и т.д.
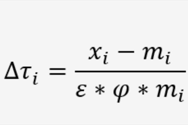
При этом в формуле расчета размера тарифа, опубликованной Управлением торгового представителя США, есть два дополнительных условия в знаменателе — эластичность спроса на импорт по отношению к импортным ценам (ε) и эластичность импортных цен по отношению к тарифам (φ).
«Идея заключается в том, что по мере повышения пошлин изменение торгового дефицита будет зависеть от реакции спроса на импорт на пошлины, которая зависит от того, как спрос на импорт реагирует на импортные цены и как импортные цены реагируют на пошлины», — объясняют введение этих показателей эксперты.
Однако «по счастливой случайности» они нивелируют друг друга, поскольку в администрации Трампа сочли, что первый показатель равен 4, а второй — 0,25. Их произведение равно единице, поэтому эти факторы не учитываются при расчетах. Но, как подчеркнул профессор делового администрирования из Гарвардской школы бизнеса Альберто Кавалло, на исследовании которого основывались в администрации при расчете формулы, в X второй показатель должен быть примерно в четыре раза больше (0,945). В AEI поясняют, что администрация Трампа взяла для расчетов реакцию розничных, а не импортных цен на пошлины, что «нецелесообразно».
Если применить формулу с исправленным значением, то размер пошлин для других государств будет примерно в четыре раза меньше. Например, по подсчетам ученых, для Лесото, пошлины в отношении которой являются максимальными (50%), ставка будет равна 13,2%.
2 апреля Трамп объявил о введении «зеркальных» пошлин от 10 до 50% более чем для двух сотен стран. Эта мера начнет действовать с 9 апреля. 5 апреля вступила в силу минимальная базовая ставка для других стран в размере 10%.
После объявления о «зеркальных» пошлинах американский фондовый рынок показал сильнейшее падение за пять лет из-за повышения риска рецессии. Также обвалился курс доллара ко всем основным валютам. Цена нефти Brent впервые с декабря 2021 года опустилась ниже $68 за баррель.
Трамп оценил последствия от введенных пошлин для американской экономики словами «пациент выжил и идет на поправку». В американском Минфине не увидели повышения риска рецессии в стране.

